Stratégies en concurrence imparfaite
Introduction
- La concurrence imparfaite renvoie à ces structures de marché qui ont certains traits de la concurrence et certains traits du monopole.
- On distingue deux types majeurs de marchés en concurrence imparfaite:
- L’oligopole: Seulement quelques vendeurs, chacun offrant un produit similaire ou identique.
- La concurrence monopolistique: Plusieurs firmes vendent des produits similaires mais non identiques.
Oligopole
- Ce type de concurrence imparfaite caractérise les secteurs où les entreprises font face à des concurrents mais où l’intensité de la concurrence n’est pas suffisante pour qu’elles soient “preneuses de prix”.
- Marchés avec un faible nombre de participants.
- Duopole: deux entreprises.
- Oligopole: quelques offrants.
- Pouvoir sur les prix, mais ce pouvoir est réduit par rapport au monopole.
- Aussi: interdépendance des décisions des offrants.
- Collusion est possible→ cartels.
- Exemple: OPEP.
- Quelle politique de la concurrence?
Hypothèses standards
- Atomicité du côté de la demande;
- Le bien est homogène;
- Pas de libre-entrée (nombre fixe de participants du côté de l’offre);
- Les offrants sont peu nombreux et ont donc un pouvoir de marché (prix supérieur au coût marginal);
- Les entreprises ne font que choisir un volume (pas de publicité, etc.).
Exemple: demande d’eau potable
- La demande peut être représentée comme suit:

- Ou sous forme inverse, la volonté de payer (qu’on obtient par la réciproque de la demande):

- Supposons que Gilles et Jacqueline sont les deux seuls offrants sur le marché d’eau potable du village.
- L’eau provient d’une source et on suppose que la fourniture d’eau n’implique aucun coût (et donc le coût marginal est nul).
- Prix et quantité offerte dépendront de la structure de marché.
- Les deux modèles avec produit homogène sont la concurrence parfaite et le monopole. Peut-on les utiliser pour comprendre les choix de Gilles et Jacqueline?
Duopole en concurrence parfaite
Sur un marché parfaitement concurrentiel, les décisions de chaque offrant pousseraient le prix au niveau du coût marginal de l’eau potable, à savoir zéro:

- La quantité totale consommée serait: Q=120.
- L’équilibre serait efficient puisque le prix est égal au coût marginal.
- Mais ce résultat est-il un équilibre possible? Étrange car on n’imagine mal l’activité économique se produire sans aucun revenu pour les offrants!
- Et pourtant ils ne sont que deux, donc il doit être possible de trouver un équilibre.
- On en conclut que le modèle de concurrence parfaite n’est pas adéquat.
Duopole en monopole
- Dans un régime de monopole, le profit serait maximisé lorsque la recette totale du marché serait maximisée puisqu’il n’y a pas de coût variable (par hypothèse).
- Si la demande inverse est P = 120 − Q, la recette totale est:

- C’est une parabole qui prend la valeur de zéro en 0 et en 120 et atteint un niveau maximal de 3600 pour une valeur de Q = 60 (c’est là que la recette marginale est nulle).
- Donc, Gilles et Jacqueline pourraient s’entendre pour écouler une quantité totale de 60 au prix de 60 avec chacun une recette de 1800 (la moitié de 3600).

Comment obtenir le monopole
- Les producteurs en situation de duopole peuvent s’entendre sur la détermination de la quantité et sur le prix comme dans une situation de monopole.
- On parle de collusion lorsque les entreprises s’entendent sur les quantités à produire ou les prix à fixer.
- On parle de cartel lorsque des offrants se regroupent et agissent ensemble.
- Bien que les producteurs en oligopole veuillent former des cartels et percevoir des profits de monopole, cela n’est pas toujours possible.
- La loi qui réglemente la concurrence interdit de manière explicite les accords entre producteurs en oligopole.
Exemple (duopole)
- Supposons que Gilles et Jacqueline sont les deux seuls offrants sur le marché d’eau potable du village.
- L’eau provient d’une source et on suppose que la fourniture d’eau n’implique aucun coût (et donc le coût marginal est nul).
- S’ils s’entendent sur la quantité et le prix de monopole, ils peuvent tous deux obtenir chacun un profit de 1800.
- Ceci implique une auto-discipline de respecter le quota de monopole. Chacun aura une tentation de tricher et mettre plus sur le marché.
- Si l’un des deux triche et l’autre respecte le quota, le tricheur obtient un profit de 2025 et l’autre un profit de 1350.
- Enfin, si les deux trichent, l’équilibre de Cournot s’observe avec chacun obtenant un profit de 1600.
Instabilité
- Dans l’exemple de Gilles et Jacqueline, le choix de produire 30 au prix de 60 peut se faire par collusion.
- Néanmoins, Gilles pourrait décider d’augmenter sa production d’eau potable en comptant sur une production constante de Jacqueline et réaliser la possibilité d’accroître ses profits.
- En soustrayant la quantité de 30 de la demande totale, il viendrait une demande résiduelle:

- Avec une recette totale de:

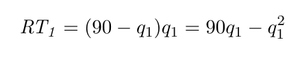
- À partir de cette recette totale, la recette marginale est donnée par Rm1 = 90 − 2q1.
- La recette marginale se confond avec le profit marginal, et ici elle sera positive pour une quantité de q1 = 30:

- Il sera donc tenté de produire une quantité de 45 (pour laquelle la recette marginale tombe à zéro).
- Cet accroissement de quantité fera chuter le prix à 45 (quantité totale sur le marché=30+45=75 et 120-75=45), mais lui procurera un revenu de (45)2 = 2025 plutôt que les 1800 du monopole (cartel).

- Bien entendu, Jacqueline se rendra compte que Jacques triche puisque le prix diminue et se retrouve avec un profit diminué à 45 × 30 = 1350 plutôt que les 1800 du monopole (cartel).
- Elle va donc également augmenter sa production d’eau potable pour compenser la baisse de prix.
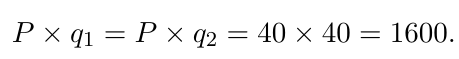
- En choisissant la quantité de 40, elle contraindra Jacques à s’aligner aussi sur ce même volume, de sorte que le prix s’établira à P(Q)=120-40-40=40 et tous deux réaliseront un profit (ou recette totale) de 1600:

- Ces deux volumes constituent l’équilibre de duopole car aucun offrant ne souhaite modifier sa quantité (les profits marginaux sont nuls pour les deux).

L’équilibre de l’oligopole
Lorsque les firmes en oligopole choisissent individuellement la production qui maximise le profit:
- La quantité totale est supérieure au niveau de monopole
- Mais inférieure à celle de concurrence parfaite.
- Le prix fixé par l’oligopole est inférieur au prix de monopole;
- Mais il est supérieur au prix concurrentiel (qui est égal au coût marginal).
- Les profits sont inférieurs à ceux du monopole;
- Mais ils sont supérieurs à ceux de concurrence parfaite.
Effet de la taille d’un oligopole
- Comment une augmentation du nombre des vendeurs affecte-t-elle le prix et la quantité vendus?
- Au fur et à mesure que le nombre de vendeurs en situation d’oligopole augmente, le marché se rapproche d’un marché concurrentiel.
- Le prix converge vers le coût marginal, et la quantité produite se rapproche du niveau socialement efficace.
Théorie des jeux et l’économie de la coopération
- La théorie des jeux est l’étude du comportement des individus placés dans des situations stratégiques.
- Par stratégie, on entend un choix dans une palette de décisions possibles que l’individu confronte à toutes les réactions possibles des autres individus relativement à sa propre décision.
- Comme le nombre de firmes sur un marché oligopolistique est faible, chaque firme doit adopter un comportement stratégique.
- Chacune d’entre elles sait que son profit ne dépend pas seulement de ce qu’elle produit mais de ce que les autres produisent aussi.
- Un jeu est la combinaison d’un ensemble de stratégies donnant lieu à des gains (ou pertes) différents selon la réaction des autres joueurs, tous censés agir rationnellement.
- Le jeu peut être statique ou dynamique (répété).
- Il peut également être l’objet d’une incertitude si on adopte une certaine stratégie avec une probabilité et une autre avec une autre probabilité (Cf. jeu de poker).
- Importance du choix de stratégies crédibles.
- Ici: approche très sommaire de la théorie des jeux, qui fait appel à des notions mathématiques parfois très poussées.
Dans l’oligopole
- Chaque entreprise est un joueur qui maximise son profit (gain du jeu).
- Chaque entreprise sait que l’action des autres peut affecter son profit ou gain.
- Particularité absente de la concurrence parfaite et du monopole. En concurrence parfaite, l’entreprise peut être vue comme jouant contre le marché, et en monopole, contre la demande.
Équilibre de Nash
- John F. Nash (1951) a donné une caractérisation de l’équilibre dans la théorie des jeux non-coopératifs, qui lui a valu le prix Nobel en 1994.
- Principe: l’équilibre non coopératif de Nash est atteint avec un ensemble de stratégies, lorsque, pour tout joueur, la meilleure stratégie est choisie en considérant les stratégies des autres comme données.
- C’est un équilibre, car aucun participant n’est incité à changer de stratégie.
- Remarque: Cet équilibre peut être sous-optimal pour tous les participants!
Matrice de gains/pertes
Il est courant de recourir à des tableaux ou matrices de gains en théorie des jeux, qui synthétisent les résultats pour chaque joueur en fonction des stratégies adoptées. La notation est la suivante:
Le terme de gauche dans chaque cellule (en gras) indique le gain de A et celui à droite (en italique) celui de B, en fonction des stratégies choisies respectivement par A (en ligne) et B (en colonne).
Le Dilemme du Prisonnier
- Le dilemme du prisonnier illustre le fait que la coopération est difficile à maintenir.
- Souvent les individus (firmes) ne parviennent pas à coopérer les uns avec les autres même si la coopération est mutuellement avantageuse.
- Le dilemme du prisonnier:
- Deux suspects sont arrêtés et mis dans des cellules séparées.
- Impossibilité de communiquer entre eux.
- Preuves insuffisantes en l’état, mais l’aveu d’un des deux prisonniers constitue une preuve suffisante de condamnation pour la justice, même si l’autre persiste à nier.
- L’information que les prisonniers connaissent:
- Si aucun n’avoue, ils doivent purger une peine mineure (1 an de prison);
- Si les deux avouent, ils écopent tous deux de la peine prévue pour le délit (8 ans de prison);
- Si un prisonnier avoue, il bénéficie d’une mesure de clémence et est immédiatement relâché. L’autre purge une peine plus grave que celle du délit pour obstruction à la justice (20 ans de prison).
- Ici, le jeu est symétrique, mais ce n’est pas nécessairement le cas.

- Le nombre de gauche (en gras) dans chaque cellule indique la peine infligée à Brute et le nombre de droite (en italique) celle infligée à Truand. La cellule reflète les stratégies choisies par Brute et Truand.
Duopole comme dilemme du prisonnier
- La stratégie dominante est une stratégie qui est la meilleure pour un joueur, quelle que soit la stratégie jouée par les autres joueurs.
- La coopération est difficile à maintenir car la coopération n’est pas une chose rationnelle au niveau individuel.
- Tout comme la logique de l’intérêt individuel conduit les prisonniers à avouer, ce même intérêt individuel engendre des difficultés pour l’oligopole à maintenir une situation coopérative, avec une production faible, des prix élevés et des profits de monopole.
- Avec le passage du temps, on peut envisager la coopération comme plus stable, car les duopoleurs se rendent compte des profits auxquels ils renoncent en trichant.
- Lorsque Gilles triche, Jacqueline peut le punir par la cessation immédiate de la coopération et le retour à l’équilibre non-coopératif.
- Gilles se rend compte qu’il a gagné un profit de triche de court terme mais perdu tous les profits de monopole futur…
- La répétition du jeu sans date de fin, ou une incertitude permet d’assurer un équilibre coopératif.

- Le nombre de gauche (en gras) dans chaque cellule indique le profit de Gilles et le nombre de droite (en italique) celui de Jacqueline. La cellule reflète les stratégies choisies par Gilles et Jacqueline.
Jeu de publicité sans stratégie dominante
Le nombre de gauche (en gras) dans chaque cellule indique le profit d’AcquaBon et le nombre de droite (en italique) celui d’EauVive. La cellule reflète les stratégies choisies par AcquaBon et EauVive. Il y a deux équilibres de Nash dans ce jeu.
L’oligopole et le rôle de l’État
- La coopération entre les membres de l’oligopole est désirable du point de vue des entreprises du secteur en question uniquement!
- Pour la la société dans son ensemble, l’oligopole est indésirable car il conduit à une production trop basse et à des prix trop élevés.
- La plupart des pays s’équipent d’un appareil législatif visant à empêcher les enfreintes à la concurrence par des cartels ou des ententes sur les prix.
- Certaines lois sont plus souples que d’autres selon le pays.
- Les économistes ne sont pas toujours unanimes sur la manière de juger les restrictions à la concurrence, et la nécessité de légiférer contre certaines pratiques.