Liberation Day

Principes

  • Reciprocal tariffs are calculated as the tariff rate necessary to balance bilateral trade deficits between the U.S. and each of our trading partners This calculation assumes that persistent trade deficits are due to a combination of tariff and non-tariff factors that prevent trade from balancing. Tariffs work through direct reductions of imports. Reciprocal tariff rates range from 0 percent to 99 percent, with unweighted and import-weighted averages of 20 percent and 41 percent.
  • Le concept de tarif réciproque, et sa définition, ne consistent pas exactement en ça. C’est seulement augmenter les tarifs réciproquement, pas équilibrer les relations commerciales comme le veut D.T.
  • Normalement les tarifs se négocient par produit et pas par pays.

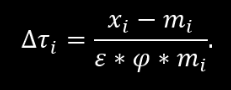
Formule

  • Consider an environment in which the U.S. levies a tariff of rate τi on country i and ∆τi reflects the change in the tariff rate. Let ε<0 represent the elasticity of imports with respect to import prices, let φ>0 represent the passthrough from tariffs to import prices, let mi>0 represent total imports from country i, and let xi>0 represent total exports. Then the decrease in imports due to a change in tariffs equals ∆τiXεXφXmi<0. Assuming that offsetting exchange rate and general equilibrium effects are small enough to be ignored, the reciprocal tariff that results in a bilateral trade balance of zero satisfies:
  • Ils ont quand même appliqués des droits de douane sur les états à balance positive.
  • La formule assume qu’il n’y aura pas d’impact négatif sur les importations américaines comme résultat de ces tarifs et que la valeur du dolar restera stable.

Commentaires sur la formule

  • Ignore les effets d’équilibre général et de termes de l’échange. ⇒ Problématique vu la taille du marché américain et l’importance de l’augmentation des tariffs douaniers.
  • The elasticity of import prices with respect to tariffs, φ, is 0.25. The recent experience with U.S. tariffs on China has demonstrated that tariff passthrough to retail prices was low (Cavallo et al, 2021). ⇒ Les auteurs en question estiment l’elasticité à 1 (ce qui semble indiquer un pouvoir de marché faible) : Cela donnerait un tarif sur la Suisse de 8% et non pas 32% / Cavallo et al (2021) : https://www.aeaweb.org/articles?id=10.1257/aeri.20190536
  • Import and export data from the U.S. Census Bureau for 2024. ⇒ Calculs très sensibles aux années / ex: The economist estime que les droits de douane auraient été de seulement de 19% pour la Suisse en 2022 (voir ici).
Pourquoi la formule ne prend en compte que le commerce de biens?

Sur le commerce des services, c’est l’inverse, ça se compense.

Calibration

Import and export data from the U.S. Census Bureau for 2024. Parameter values for ε was set at 4- The elasticity of import prices with respect to tariffs, φ, is 0.25. The recent experience with U.S. tariffs on China has demonstrated that tariff passthrough to retail prices was low.

En réalité 0.25X4=1 donc la formule se transforme en (xi-mi)/mi(xi/mi)-1. En plus, le passthrough a été faible puisque les supermarchés américains ont baissé les prix en payant eux les tarifs, ce qui les a rendues gratuites pour les consommateurs. Ceci n’est possible que dans une mesure temporelle, et coûte très cher à l’économie américaine.

Conséquences

  • Application d’un tarif minimal de 10% quoiqu’il arrive, même lorsque les US ont un excèdent commercial.
  • Sinon reciprocal tariff calculé et divisé par deux. Arbitrairement.
  • Exception pour certains secteurs (pétrole, pharmaceutique, semiconducteurs, etc.).

Ce qui en découle

  • Droits de douanes les plus élevés aux US depuis le Reciprocal Trade Agreements Act en 1934 (qui a contribué à la Grande Dépression et à la SGM) :
  • Et juste un peu en-dessous pour les 90 prochains jours, pendant la pause

Commentaires sur l’interprétation

Commentaires sur l’applicabilité

  • Comment gérer autant de tariffs à l’entrée sur le territoire ?
  • Quid des règles d’origine ?
  • Difficile imaginer des tailored made tariffs en 3 mois.

Commentaire sur la stratégie

Les gens préfèrent maintenant les valeurs sûres comme l’or. Les bons des USA le sont aussi mais ils sont en baisse : soit parce que les gens ont besoin d’argent et vendent ou parce qu’ils n’ont plus confiance (donc le taux d’intérêt monterait et une crise massive commencerait).

Le spaghetti bowl des Amériques

Représenter les accords est compliqué. Il y en a beaucoup, ce qui complique beaucoup le commerce en entraînant même des contradictions.

Part du commerce mondial

Part du commerce intra-ACR dans les exportations mondiales de marchandises, 1990-2008 (pourcentage).

Donc, aux alentours de 50% du commerce mondial est discriminatoire et ne respecte pas l’un des principes fondamentaux du GATT-OMC (stipulé par exemple dans l’article I du GATT) la clause de la NPF. Il est cependant permis comme exception à travers l’article XXIV du GATT et article 5 du GATS tant que l’accord régional :

  1. Les préférences accordées sont réciproques et couvrent une part substantielle du commerce (~ plus de 80%).
  2. La protection vis-à-vis les pays non-membres n’augmente pas.

Effets de ces accords sur le commerce ? Sur le bien-être ?

A et B forment une zone de libre-échange (ZLE) (analyse Viner 1950)
  • Production domestique dans A est concurrencée par les imports en provenance de B et C.
  • Création si la mise en place de la ZLE induit le remplacement d’une production domestique dans A par une production plus efficace (à plus faible coût de production) en provenance d’un pays partenaire B.
  • Détournement si la mise en place de la ZLE induit le remplacement des importations en provenance de C (production à bas coût) par des importations moins efficaces (à plus fort coût) en provenance d’un pays partenaire B. Si cet effet domine les effets son négatifs sur le bien-être.

De plus en plus d’accords qui vont au-delà des mesures commerciales classiques

  • Facilitation des passages en douanes, baisse des coûts de transactions, assouplissement et/ou harmonisation de normes, etc.
  • Engagements concernant les services, l’investissement, la protection de la propriété intellectuelle, les obstacles techniques au commerce et la politique de la concurrence occupent une place importante dans de nombreux ACR.
  • Horn, Mavroidis et Sapir (2010) identifient 52 domaines d’action qu’ils classent en deux groupes.
    • Dispositions OMC+, relève du mandat actuel de l’OMC donc confirment les engagements existants et prévoient des obligations additionnelles.
    • Le second groupe, dénommé OMC-X, comprend des obligations qui ne relèvent pas du mandat actuel de l’OMC. C’est très important pour combler les lacunes de l’OMC où il n’est pas toujours possible d’arriver à un accord (ex : Doha). Beaucoup de domaines ne seraient pas couverts autrement. Chaque fois on va plus loin des sujets traités dans l’OMC. Néanmoins c’est plus difficile de les exécuter. C’est pas suffisant de regarde juste les négociations dans l’OMC. Les accords les plus communs sont entre PD et PED.

Exemples

UNIGE Introduction-économie-internationale